531-139-932

pon. - pt.: 08:00 - 16:00

Drodzy Klienci, informujemy, że czas realizacji zamówień został wydłużony i obecnie wynosi 2–3 dni robocze. Dziękujemy za wyrozumiałość i cierpliwość!

Ile prądu zużywa żarówka LED?

Dynamiczny rozwój żarówek LED w ciągu ostatniej dekady dobitnie pokazał wszystkim niedowiarkom, że popularność tych źródeł światła nie jest jedynie chwilowym trendem, a sposobem na realne oszczędności, widoczne gołym okiem w rachunkach za prąd. W jaki sposób obliczyć, ile w perspektywie danego czasu zapłacimy za pracę żarówek, nad których zakupem się zastanawiamy? Odpowiedź znajdziecie poniżej!

Waty w żarówkach LED – czym jest moc?

By w pełni zrozumieć zużycie prądu każdego urządzenia elektrycznego (lub mechanicznego), niezbędna okaże się podstawowa (i mniej podstawowa) wiedza z zakresu fizyki. Na dobry początek zaczniemy od zdefiniowania podstawowych parametrów, mających wpływ na moc żarówki. Czym jest więc wat? Według najprostszej definicji jest to moc (P), przy której praca wykonana w ciągu jednej sekundy (1 s) jest równa jednemu dżulowi (1 J). Każdy 1 W mocy oznacza więc, że w ciągu jednej sekundy nasza żarówka wykorzystała 1 J energii, zamieniając ją w pracę (emisję światła). W przypadku urządzeń elektrycznych moc jest iloczynem napięcia i natężenia prądu, pobieranego z sieci:

 

P = U x I

 

Chcąc podejść do tematu w sposób bardziej szczegółowy, sprawa nieco się komplikuje. W rzeczywistości bowiem moc podawana przez producentów na pudełkach jest wartością przybliżoną. Chcąc zawęzić ją do możliwie jak najbardziej dokładnego wyniku, należałoby uwzględnić rodzaj materiału półprzewodnikowego i temperaturę otoczenia. Zmierzenie tych czynników jest jednak na tyle trudne – nawet przy pomocy skomplikowanej aparatury – że podanie całkowicie dokładnej mocy żarówki LED jest niemożliwe.

 

Parametrem, który znacznie pomaga nam w osiągnięciu jak najdokładniejszego pomiaru, jest prąd nominalny diody. W przypadku najpopularniejszych żarówek LED dostępnych na rynku najczęściej spotyka się diody o prądzie 350 mA i 700 mA. Przy zasilaniu typowym napięciem 5 V otrzymujemy więc moc na poziomie 1 i 2 W. Popularnością cieszą się także modele, wyposażone w układy o prądzie nominalnym 1 A (3 W) i ok. 1,4-1,5 A (5 W).

 

Podsumowując, w przypadku zwykłych żarówek LED na gwint E14 lub E27, jako moc pobieraną z sieci możemy przyjąć tę, która została wypisana na pudełku. Oczywiście ze świadomością, że rzeczywisty pobór będzie się minimalnie różnił, nie wpływając na wysokość rachunku za prąd. Listwy LED z zasilaczami zewnętrznymi będą wykorzystywały moc pomniejszoną o występujące na nich straty, mieszczące się zazwyczaj w przedziale 50-85%. I tak dla przykładu pasek LED o mocy 4 W będzie potrzebował do emitowania światła od 2 do 3,5 W.

 

Zawieszka
-15%

Żarówka LED

Żarówka LED 3,5W G9 Barwa ciepła
7,65 6,50
Zawieszka
ostatnie sztuki
-15%

Żarówka LED

ŻARÓWKA UFO 15W LED CZERWONA Barwa zimna 6000K
33,21 28,23
Zawieszka
ostatnie sztuki
-15%

Żarówka LED

ŻARÓWKA UFO 15W LED Żółta Barwa zimna 6000K
33,21 28,23
Zawieszka
ostatnie sztuki
-15%

Żarówka LED

ŻARÓWKA UFO 15W LED Zielona Barwa zimna 6000K
33,21 28,23

Moc żarówki LED a jasność

Czasy leciwych żarówek wolframowych, których jasność danego modelu mogliśmy określić według zasady “im więcej wat, tym więcej światła”, odeszły już do lamusa. W przypadku LED-ów sprawa mocy schodzi na dalszy plan, ustępując miejsca lumenom.

 

Lumen to jednostka określająca całkowitą moc światła, emitowanego przez diody LED. Ścisły związek między ilością watów a ilością lumenów nie istnieje z uwagi na ciągły wyścig zbrojeń producentów, starających się dostarczyć nam możliwie jak najbardziej energooszczędne żarówki przy zachowaniu odpowiednio mocnego światła. Tyle na ten temat, który przy okazji wątku mocy warto było poruszyć. Wszystkich zainteresowanych tym zagadnieniem zapraszamy do naszego obszernego artykułu, poświęconego kwestii mocy światła oraz temu, jak przeliczyć lumeny na waty.

 

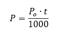
Jak obliczyć, ile prądu pobiera żarówka LED?

Przechodząc do sedna, czyli obliczania realnego poboru energii przez naszą żarówkę LED – jakich obliczeń należy dokonać? Ilość mocy pobranej z sieci jest iloczynem mocy żarówki i czasu, wyrażanego w godzinach, dzielonego przez 1000, oznaczanym jednostką kilowata (kWh):

 

zuzycie energii przez zarowke led wzor 1619865833

W przypadku, gdy zamiast mocy żarówki LED dysponujemy jedynie jej napięciem i natężeniem prądu:

zuzycie energii przez zarowke led wzor napecie natezenie 1619865833

Przykładowo, żarówka o mocy 25 W będzie pobierała w ciągu godziny swej pracy:

zuzycie energii przez zarowke przyklad 1619865833

By obliczyć koszt energii pobieranej przez żarówkę, mnożymy potrzymany wynik przez cenę za 1 kWh u naszego dostawcy. Na nasze potrzeby przyjmiemy uśrednioną cenę 0,60 zł/kWh i pracę przez 10 godzin dziennie przez 365 dni w roku:

 

 

0,025 [kWh] x 0,60 [zł] x 10 [h] x 365 [dni] = 54,75 zł

W przypadku pracy w takim czasookresie za energię elektryczną, pobieraną przez żarówkę LED, przyjdzie nam zapłacić niewiele ponad 50 zł.

Energooszczędne żarówki LED w ofercie sklepu Lampoteka

Oszczędności w portfelu i troska o środowisko to podstawa. I tu z pomocą przychodzimy my wraz z szeroką gamą żarówek LED od najlepszych producentów, gwarantujących ekologiczne i tanie – także w eksploatacji – rozwiązania. W razie jakichkolwiek pytań – zapraszamy do kontaktu

 

 

Kategorie:

Zobacz również:

Darmowa dostawa - ikona Darmowa dostawa od 200zł
Dożywotnia gwarancja - ikona Dożywotnia gwarancja na polskie produkty
60 dni na zwrot - ikona 60 dni na zwrot zakupionych towarów
Szybkie płatności - ikona Szybkie płatności bezpieczne transakcje
Szybkie zakupy - ikona Szybkie zakupy bez zakładania konta